Czy warto uczyć się w szkole trygonometrii, czyli o pomiarach ESR [cz. 2]
Matematyka była już raz usuwana z matury, potem wróciła, a obecnie znowu pojawiają się pomysły rezygnacji z tego przedmiotu jako maturalnego. W pierwszym odcinku artykułu pokazaliśmy jednak, że pewna, choćby elementarna wiedza z zakresu trygonometrii może być przydatna nawet po latach, w trudnych do przewidzenia okolicznościach. Zadanie, które rozwiązywaliśmy nie było trudne. Z pewnością nie był to nawet podstawowy poziom maturalny.
Połączenie trygonometrii z teorią obwodów umożliwiło wyprowadzenie wzoru na obliczanie parametru ESR kondensatora dla technicznej metody pomiaru:

Aby zrozumieć znaczenie składników tego wyrażenia, konieczne jest przypomnienie układu pomiarowego (rys. 8). UA i UB, to napięcia mierzone kanałem 1. (UA) i kanałem 2. (UB) oscyloskopu. Przyrząd ten musi mieć możliwość wykonywania obliczeń matematycznych i wizualizowania wyników na ekranie w postaci dodatkowego, wirtualnego przebiegu. Obliczenie to posłuży do wykreślenia przebiegu prądu w obwodzie pomiarowym, który z kolei będzie potrzebny do wyznaczenia kąta φ odpowiadającego przesunięciu fazowemu między prądem a napięciem źródła V1. Napięcie to jest mierzone bezpośrednio w kanale 1. Drugi kąt β występujący w powyższym wyrażeniu, to przesunięcie fazowe między napięciem UB mierzonym w kanale 2. i napięciem źródła V1.

Rys. 8. Układ pomiarowy ESR
Jeżeli oscyloskop nie ma zaimplementowanego automatycznego pomiaru przesunięcia fazowego między dwoma przebiegami, konieczne będzie ręczne jego wyznaczanie. Jak już było wspomniane w części 1., w pomorach ESR opisanych w artykule zastosowany był zestaw Analog Discovery 2 firmy Digilent. Oscyloskop tego przyrządu ma możliwość wykonywania i wykreślania obliczeń automatycznych, a w pomiarach automatycznych można uruchomić skrypt obliczający przesunięcie fazowe (list. 1).

List 1. Skrypt programu WaveForms obliczający przesunięcie fazowe między przebiegiem prądowym (Math1) a napięciem mierzonym w kanale 1.
Jeśli w użytym do pomiaru oscyloskopie nie ma funkcji automatycznego pomiaru fazy, można to zrobić metodą opisaną niżej.
Pomiar kursorowy przesunięcia fazowego między dwoma przebiegami
Przesunięcie fazowe między dwoma przebiegamy zostanie zmierzone z użyciem kursorów.

Rys. 9. Pomiar przesunięcia fazowego z użyciem kursorów
Zakładamy, że wszystkie końcówki pomiarowe zostały prawidłowo połączone do układu i na ekranie widzimy przebiegi z obu kanałów, a dodatkowo widoczny jest jeszcze obliczony przebieg prądu. Dla zwiększenia precyzji korzystamy z funkcji Zoom (1 – rys. 9), powiększając oscylogramy tak, żeby dobrze widoczne były miejsca przecięcia przebiegu prądowego (zielonego) z osią czasu oraz pomarańczowego przebiegu napięcia z kanału 1 (napięcie UA.) również z osią czasu. Następnie włączamy kursory pionowe klikając na ikonkę wskazaną na rys. 9 cyfrą 2. Kursory jak najdokładniej ustawiamy w punktach, w których oba przebiegi przecinają oś czasu (2 – rys. 9). Program wyświetli automatycznie wszystkie dane związane z każdym z kursorów, ale nas najbardziej będzie interesował odstęp czasu między nimi (3 – rys. 9). W przykładzie z rys. 9 jest to 687,7 ms. Do obliczenia przesunięcia fazowego musimy znać okres przebiegu. Możemy go zmierzyć podobną metodą ustawiając kursory w kolejnych dwóch punktach, w których dany przebieg przecina oś czasu np. na narastającym zboczu, lub przyjąć jako odwrotność częstotliwości sinusoidalnego przebiegu pomiarowego. W naszym przykładzie jest to 10 ms, ponieważ częstotliwość jest równa 100 Hz. Pozostaje już tylko obliczenie przesunięcia fazowego między prądem a napięciem źródła:

Należy jeszcze pamiętać, że obliczenie ESR będzie wymagało obliczenia kosinusa. Zwykle do tych obliczeń kąt jest podawany w stopniach, gdyby jednak kalkulator liczył tę funkcję w radianach, zamiast czynnika 360, należałoby zastosować czynnik 2π.
Ostateczne obliczenie ESR
Jeśli opisaną metodą obliczylibyśmy przesunięcie fazowe między przebiegami z kanału 2. i 1., byłoby ono równe β=38,628º. Do obliczenia ESR konieczne jest jeszcze zmierzenie napięć AC RMS z obu kanałów. W tym przypadku korzystamy z pomiarów automatycznych (rys. 10). Dają one wynik: UA=0,99991 V, UB=468,55 mV. W pomiarze został zastosowany rezystor R1=100,23 Ω.

Rys. 10. Wyniki pomiarów automatycznych napięć AC RMS w punktach A i B układu
Mając te dane obliczamy ESR:

Jest to oczywiście bardzo kiepski wynik, ale – tu muszę przyznać się do małego oszukaństwa – napięcia z tego przykładu nie pochodzą z rzeczywistego pomiaru kondensatora, tylko zostały wygenerowane sztucznie z użyciem drugiego kanału generatora. Trik został zastosowany po to, by jak najczytelniej przedstawić przykładowe wyniki pomiaru.
Pomiary ESR rzeczywistych kondensatorów metodą techniczną
Nadszedł wreszcie moment, w którym możemy zająć się pomiarami rzeczywistych elementów. Układ pomiarowy został zmontowany na breadboardzie (fot. 11) . Zmierzona multimetrem rezystancja R1 wynosi 100,23 Ω. Wszystkie dane liczbowe podstawiane do wzoru na ESR są mierzone automatycznie. Przebieg prądu jest wykreślany na podstawie obliczenia: (C1-C2)/100.23 przez funkcję matematyczną Math1, gdzie C1 to przebieg z kanału 1., a C2, to przebieg z kanału 2. Źródłem V1 z rys. 8 jest kanał 1. (W1) generatora.

Fot. 11. Zmontowany układ pomiaru ESR
Uwaga: W rzeczywistym układzie pomiarowym zostało obniżone napięcie sygnału generatora do 300 mVpp. Dodatkowo przebieg jest generowany ze składową stałą 500 mV. Wprowadzenie offsetu pozwala uzyskać niewielką stałoprądową polaryzację kondensatora elektrolitycznego zapobiegającą jego degradacji. Efekt ten mógłby wystąpić podczas pracy bez składowej stałej między elektrodami. Zmniejszenie napięcia wyjściowego ogranicza z kolei prąd wyjściowy, który pozostaje w bezpiecznym zakresie gwarantującym niezniekształcony sygnał wyjściowy.
Ważne: W pomiarach ESR mierzymy bardzo subtelne różnice między przebiegami, dlatego przed rozpoczęciem pracy zalecane jest przeprowadzenie kalibracji przyrządu pomiarowego. Ponadto, z uwagi na zastosowany offset musimy pamiętać, aby mierzyć napięcia AC RMS, a nie DC RMS. Pomiar AC RMS eliminuje składową stałą.

Rys. 12. Oscylogram pomiarów ESR metodą techniczną za pomocą zestawu Analog Discovery 2
Na rys. 12 przedstawiono oscylogramy pomiaru ESR bardzo starego kondensatora elektrolitycznego nieistniejących już zakładów ELWA o znamionowej pojemności 100 μF i napięciu 25 V. Z obliczeń wynika, że jego ESR wynosi 1,952 Ω. To trochę dużo. Z tabelki zamieszczonej w 1. odcinku wynika, że dopuszczalny maksymalny ESR takiego kondensatora, to 0,5 Ω. Być może tak duża wartość tego parametru wynika z jego leciwego wieku, możliwe jest też, że w tamtych czasach (na pewno sprzed roku 1998), taka była jakość produkcji.
Pomiar ESR z użyciem narzędzia Impedance Analyzer programu WafeForms
Oprogramowanie WafeForms obsługujące zestaw Analog Discovery 2 ma wbudowane narzędzie Impedance z funkcjami Meter i Analyzer. Układ pomiarowy jest identyczny do zastosowanego w poprzedniej metodzie, ale nie trzeba wykonywać ręcznych obliczeń. Wyniki są podane bezpośrednio, w dodatku zawierają większą liczbę parametrów (rys. 13). Mogą być one ponadto wyświetlane w funkcji częstotliwości, co jest dodatkową zaletą tego narzędzia (rys. 14).

Rys. 13. Wyniki pomiarów narzędziem Impedance – Meter

Rys. 14. Wyniki pomiarów narzędziem Impedance – Analyzer
Porównanie metod i wnioski
Jak widać z powyższych pomiarów, uzyskałem dość dobrą zbieżność wyników, ale ponieważ jedna jaskółka wiosny nie czyni, więc powtórzyłem pomiary dla kilku kondensatorów, które akurat miałem pod ręką. Zestawienie zostało zamieszczone w tab.2. ESR-y były zbliżone dla dużych i bardzo dużych pojemności, natomiast dla kondensatora 22 μF metoda techniczna dawała dwukrotnie zawyżony wynik.

Tab. 2. Zestawienie wyników pomiaru ESR metodą techniczną i z użyciem narzędzia Impedance
Czy ESR zmienia się w funkcji częstotliwości?
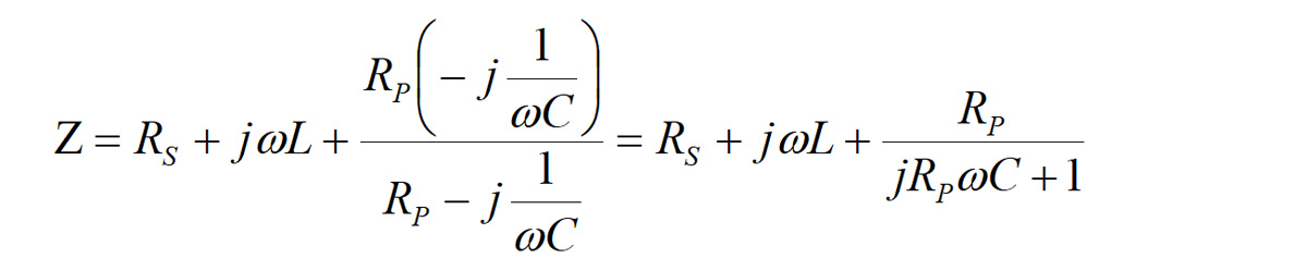
Właściwie pytanie to jest postawione źle, bo pomiar funkcją Analyzer (rys. 14) daje jednoznaczny wynik. Pytanie należałoby więc sformułować: dlaczego ESR zmienia się wraz z częstotliwością, skoro jest utożsamiany z rezystancją, a ta nie zależy przecież od częstotliwości. Musimy jeszcze raz przeanalizować impedancję zastępczą kondensatora, ale tym razem przyjrzymy się pełnemu schematowi, w którym została uwzględniona zarówno zastępcza impedancja szeregowa, jak i równoległa rezystancja upływu (rys. 15).

Rys. 15. Pełny schemat zastępczy kondensatora
Impedancję można zapisać jako:

Licznik i mianownik ostatniego czynnika mnożymy przez liczbę sprzężoną z mianownikiem:

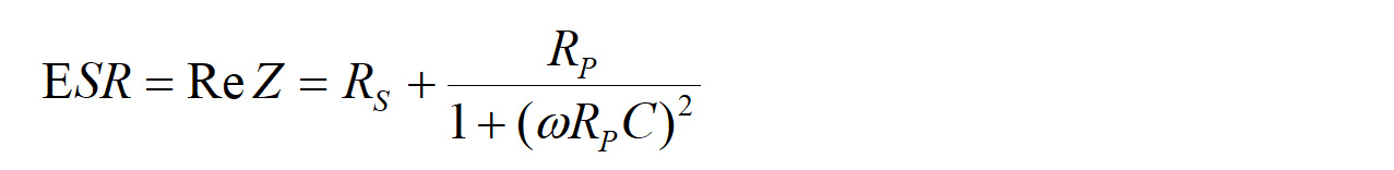
Teraz możemy już wydzielić część rzeczywistą i urojoną impedancji. Interesować nas będzie tylko część rzeczywista reprezentująca ESR:

Ostatecznie uzyskujemy wyrażenie opisujące ESR:

Widzimy, że w wyrażeniu opisującym ESR znalazła się pulsacja, a więc i częstotliwość. Mamy zatem potwierdzenie, że ESR ma prawo zmieniać się w funkcji częstotliwości. Należy ponadto pamiętać o wpływie temperatury na ten parametr.
Choć powyższy model kondensatora jest lepszy niż zastosowany na początku, nadal nie opisuje on wszystkich zjawisk zachodzących w tym elemencie. Nie można więc oczekiwać idealnie hiperbolicznego charakteru zmian ESR w funkcji częstotliwości, co wynikałoby z ostatniego wzoru. Tak wnikliwe rozważania wychodzą jednak poza zakres tej dyskusji.

Czy warto uczyć się w szkole trygonometrii, czyli o pomiarach ESR [cz. 1]
Superkondensatory oferujące dużą gęstość mocy z oferty CAP-XX
TDK wdraża xEVCap – kondensator DC link o standaryzowanej i modułowej konstrukcji dla falowników trakcyjnych xEV 

![https://www.youtube.com/watch?v=BgxJVTwYJ-s Zapraszamy do obejrzenia filmu i wysłuchania krótkich wypowiedzi prelegentów Hardware Forum 2026 i organizatorów majowej konferencji dla inżynierów z branży elektronicznej: Konrad Bruliński z Lemontech, prof. Krzysztof Kulpa z Politechniki Warszawskiej, Zbigniew Huber z FLC, Ewa Załupska z firmy KROK, Jerzy Kozieł z MPTECH, Grzegorz Potyralski z VIGO Photonics, dr Krzysztof Czuba z Politechniki Warszawskiej, Anna Beata Kalisz Hedegaard z Quantum Security Defence, Adrian Cichosz z Elhurt Dystrybucja Anna Kamińska z Creotech Quantum, oraz Łukasz Jaeszke i Adam Jaeszke z TEK.day [materiał redakcyjny]](https://mikrokontroler.pl/wp-content/uploads/2026/05/tytulowe-film-1.png)



