Oscylator Colpittsa: ćwiczenie laboratoryjne
Oscylatory występują w wielu formach. Niniejsze ćwiczenie laboratoryjne dotyczy konfiguracji Colpittsa, w której jako ścieżkę sprzężenia zwrotnego wykorzystuje się dzielnik pojemnościowy z odczepami.
Kontekst
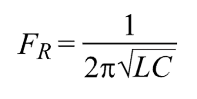
Oscylator Colpittsa jest obwodem szczególnie dobrze nadającym się do generowania sygnałów sinusoidalnych o niskim poziomie zniekształceń w zakresie częstotliwości radiowych od 30 kHz do 30 MHz. Konfigurację Colpittsa można rozpoznać po zastosowaniu dzielnika pojemnościowego z odczepami (C1 i C2 na rysunku 1). Częstotliwość oscylacji można obliczyć w taki sam sposób, jak w przypadku każdego obwodu rezonansowego równoległego, korzystając z równania 1.

Rysunek 1. Podstawowy oscylator Colpittsa

Równanie 1
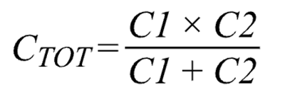
Wartości dwóch kondensatorów (połączonych szeregowo) są dobrane tak, aby ich całkowita pojemność szeregowa (CTOT) była zgodna z równaniem 2:

Równanie 2
Rysunek 1 przedstawia typowy oscylator Colpittsa. Obwód rezonansowy równoległy, określający częstotliwość, jest utworzony przez C1, C2 i L1 i służy jako impedancja obciążenia kolektora wzmacniacza wspólnej bazy Q1. Dzięki temu wzmacniacz osiąga wysokie wzmocnienie tylko przy częstotliwości rezonansowej. Ta konfiguracja oscylatora Colpittsa wykorzystuje wzmacniacz wspólnej bazy, która jest polaryzowana do odpowiedniego poziomu prądu stałego przez R1 i R2, ale jest podłączona bezpośrednio do uziemienia prądu przemiennego przez C3. W trybie wspólnej bazy przebieg napięcia wyjściowego na kolektorze i sygnał wejściowy na emiterze są w fazie. Zapewnia to, że część sygnału wyjściowego z węzła między C1 i C2, sprzężona zwrotnie z dostrojonym obciążeniem kolektora do emitera, zapewnia wymagane sprzężenie zwrotne dodatnie. Należy zauważyć, że sprzężenie zwrotne jest tylko prądu przemiennego i nie ma ścieżki prądu stałego od kolektora do emitera.
Łączna pojemność C1 i C2 tworzy również stałą czasową niskiej częstotliwości z rezystorem emitera R3, aby zapewnić średni poziom napięcia prądu stałego, proporcjonalny do amplitudy sygnału sprzężenia zwrotnego na emiterze Q1. Zapewnia to automatyczną kontrolę wzmocnienia Q1 w celu regulacji wzmocnienia oscylatora w pętli zamkniętej. Podobnie jak w przypadku wszystkich oscylatorów, należy przestrzegać kryteriów Barkhausena, wymagających całkowitego wzmocnienia równego jeden i przesunięcia fazowego wynoszącego zero stopni od wejścia do wyjścia. Rezystor emiterowy R3 nie jest odsprzężony, ponieważ węzeł emiterowy jest używany jako wspólne wejście wzmacniacza bazowego. Baza jest podłączona do uziemienia prądu przemiennego przez C3, co zapewnia bardzo niską reaktancję przy częstotliwości oscylatora.
Symulacje przedlaboratoryjne
Zbuduj schemat symulacyjny oscylatora Colpittsa, jak pokazano na rysunku 1. Oblicz wartości rezystorów polaryzujących R1 i R2 tak, aby przy rezystorze emiterowym R3 ustawionym na 1 kΩ prąd kolektora w tranzystorze NPN Q1 wynosił około 1 mA. Załóż, że obwód jest zasilany z zasilacza 10 V. Należy pamiętać, aby suma R1 i R2 (całkowita rezystancja większa niż 10 kΩ) była jak najwyższa, aby prąd stały w dzielniku rezystancyjnym był jak najniższy. C3 zapewnia uziemienie prądu przemiennego u podstawy Q1. Ustaw kondensator odsprzęgający podstawy C3 i kondensator sprzęgający prąd przemienny wyjściowy C4 na 0,1 μF. Oblicz wartości C1 i C2 tak, aby częstotliwość rezonansowa, przy L1 ustawionym na 100 μH, była bliska 500 kHz. Przeprowadź symulację przejściową. Zapisz te wyniki, aby porównać je z pomiarami wykonanymi na rzeczywistym obwodzie i dołączyć do raportu laboratoryjnego.
Materiały
- Aktywny moduł edukacyjny ADALM2000
- Zestaw płytki prototypowej bez lutowania i przewodów połączeniowych
- Jeden tranzystor NPN 2N3904
- Dwie cewki indukcyjne 10 μH
- Dwie cewki indukcyjne 100 μH
- Jeden kondensator 1 nF (oznaczony 102)
- Jeden kondensator 4,7 nF (oznaczony 472)
- Dwa kondensatory 0,1 μF (oznaczone 104)
- Jeden rezystor 1 kΩ
- Inne rezystory, kondensatory i cewki indukcyjne według potrzeb
Wskazówki
Zbuduj oscylator Colpittsa pokazany na rysunku 2, używając płytki prototypowej bez lutowania. Wybierz standardowe wartości z zestawu części dla rezystorów polaryzujących R1 i R2, tak aby przy rezystorze emiterowym R3, ustawionym na 1 kΩ, prąd kolektora w tranzystorze NPN Q1 wynosił około 1 mA. Częstotliwość oscylatora może wynosić od około 500 kHz do 2 MHz, w zależności od wartości wybranych dla C1, C2 i L1. Zacznij od L1 = 100 μH, C1 = 4,7 nF i C2 = 1 nF. Ten obwód oscylatora może wytwarzać falę sinusoidalną o amplitudzie przekraczającej 10 V p-p przy częstotliwości zbliżonej do wartości wybranej dla L1.

Rysunek 2. Oscylator Colpittsa
Konfiguracja sprzętu
Schemat obwodu na płytce prototypowej przedstawiono na rysunku 3:

Rysunek 3. Obwód oscylatora Colpittsa na płytce prototypowej
Kwadraty na rysunku 2 wskazują miejsca podłączenia modułu ADALM2000 AWG, kanałów oscyloskopu i zasilaczy. Należy pamiętać, aby włączyć zasilacze dopiero po dokładnym sprawdzeniu okablowania.
Procedura
Po zakończeniu budowy oscylatora Colpittsa należy sprawdzić, czy obwód oscyluje prawidłowo, włączając zasilacze +5 V i –5 V oraz podłączając jeden z kanałów oscyloskopu do zacisku wyjściowego. Może się okazać, że wartość R3 ma dość kluczowe znaczenie, powodując albo duże zniekształcenie przebiegu, albo przerywane niskie lub brak wyjścia. Aby znaleźć najlepszą wartość dla R3, można go zastąpić potencjometrem 1 kΩ lub 5 kΩ w celu przeprowadzenia eksperymentów i znalezienia wartości, która zapewnia najlepszy kształt przebiegu i niezawodną amplitudę. Optymalna wartość dla R3 może się zmieniać w zależności od częstotliwości rezonansowej.
Przykład wykresu przy użyciu R1 = 10 kΩ, R2 = 1 kΩ, C1 = 4,7 nF, C2 = 1 nF przedstawiono na rysunku 4:

Rysunek 4. Wykres oscylatora Colpittsa.
Pytania
- Jakie są główne funkcje oscylatora Colpittsa?
- W jakich praktycznych zastosowaniach wykorzystywany jest oscylator Colpittsa?
Odpowiedzi znajdziesz tutaj: StudentZone blog.

Modulacja szerokości impulsu i jej zastosowanie w różnych aplikacjach [ćwiczenie z cyklu ADALM2000]
Układ pomiaru tętna, który może zbudować nawet początkujący elektronik
Układy scalone czujników temperatury 





